Нүүр хуудас
Шилэн данс
Холбоо барих
Танилцуулга
Эрхэм зорилго
Үйл ажиллагааны стратегиийн зорилго, зорилт
Байгууллагын бүтэц
Түүхэн тойм
Удирдлагын мэндчилгээ
Төвүүд
Хүүхдийн төв
Залуучуудын төв
Мэдээ, мэдээлэл
Онцлох мэдээ
Хэвлэлийн мэдээ
Фото мэдээ
Видео мэдээ
Сургалт, зөвөлгөөн
Сургалт
Ил тод байдал
Төсөв санхүү
Байгууллагын батлагдсан төсөв, төсвийн гүйцэтгэл
Шилэн данс
Тендерийн зар
Үйл ажиллагааны төлөвлөгөө, тайлан
Авлигын эсрэг
Хяналт-шинжилгээ, үнэлгээ, дотоод аудит
Өргөдөл, гомдлын тайлан мэдээ
Хүний нөөц
Хүний нөөцийн ил тод байдал
Ажлын байрны зар
Хууль эрх зүй
Монгол улсын хууль
Улсын их хурлын тогтоол
Засгийн газрын тогтоол
Байгууллагын дүрэм, журам
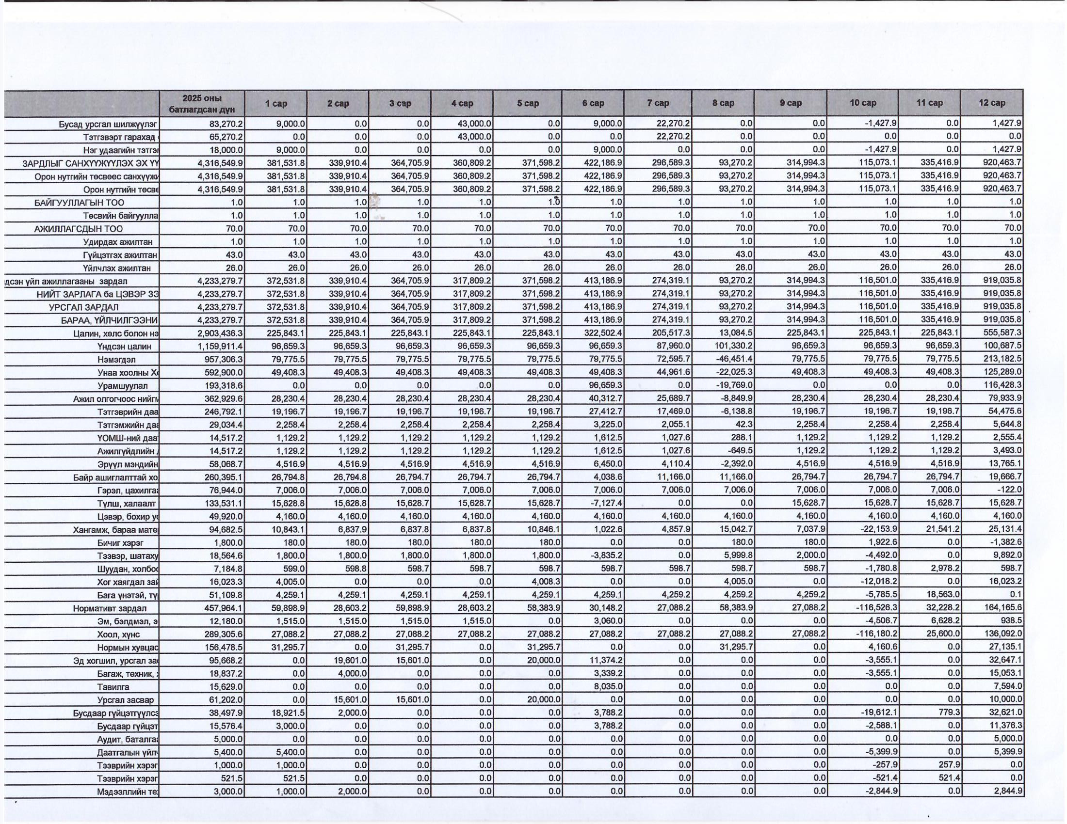
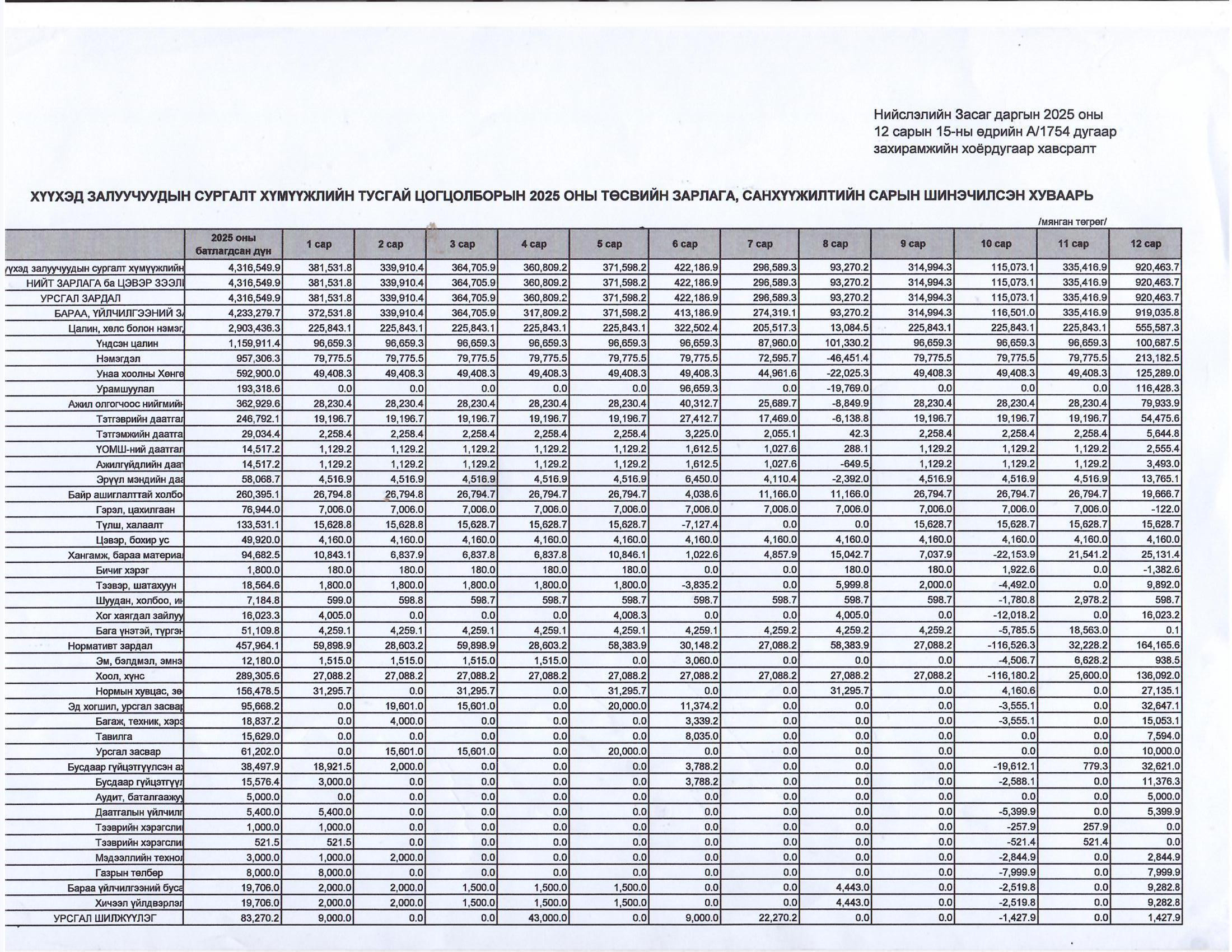
Байгууллагын 2025 оны батлагдсан төсөв
2025-01-02
Хуваалцах
Жиргэх
Холбоотой мэдээлэл
Бидэнтэй нэгдэх
Манай байршил
САЛБАРЫН БАЙГУУЛЛАГУУД